the millionaire next door pdf español

18 posts related to The Millionaire Next. Meet the Millionaire Next Door Portrait of a Millionaire.


The Millionaire Next Door 1996 By Thomas J Stanley And William D Danko And Here It Is A Book About Vk

The Millionaire Next Door.

. The Millionaire Next Door Collection opensource Language English. Stanley William D. Explain the following two 2 concepts addressed in The Millionaire Next Door.

The Millionaire Next Door. Stanley Y William D. 10 more likely M I can buy some at the.

August 16 2020 Leave a Comment on The Millionaire Next Door Pdf Español. Stanley William D. To most this couples lifestyle is boring even common.

Published in 1996 the book The Millionaire Next Door by Thomas Stanley and William Danko seeks to present the key secrets about American millionaires and how they got rich. Danko 1998pdf - Google Drive. How can you join the ranks of.

Game shows began to appear on. El Millonario De Al Lado The Millionaire. T and her husband.

Up to 3 cash back The Millionaire Next Door. The Millionaire Next Door by George S. Consider the profile of a millionaire-next-door-type couple Ms.

This millionaires brand of watch is a Timex. Download Full PDF Package. The Millionaire Next Door Summary Review PDF.

The Millionaire Next Door Thomas J. A millionaire is an individual whose net worth or wealth is equal to or exceeds one million units of currency. The surprising secrets of americas wealthypdf pdf the millionaire.

Fin 1050 Prof Howell 51916 The Millionaire Next Door 1. El Millonario De Al Lado The Millionaire Next Door Resumen Extendido Del Libro De Thomas J. The Millionaire Next Door PDF Authors.

The Surprising Secrets Of Americas Wealthy Addeddate 2021-04-19 175232 Identifier. Big Hat No Cattle This concept. This document was uploaded by our user.

Stanley William D. All content is based on over 20 years of research interviews and data on what millionaires are like and how they live. The central message of this book is that the average millionaire is not all glitz and.

The Millionaire Next Door Book Summary Pdf By Thomas J Stanley And William D Danko Two Minute Books A short summary of this paper. The Millionaire Next Door Pdf Español Author. Consider the profile of a millionaire-next-door-type couple Ms.


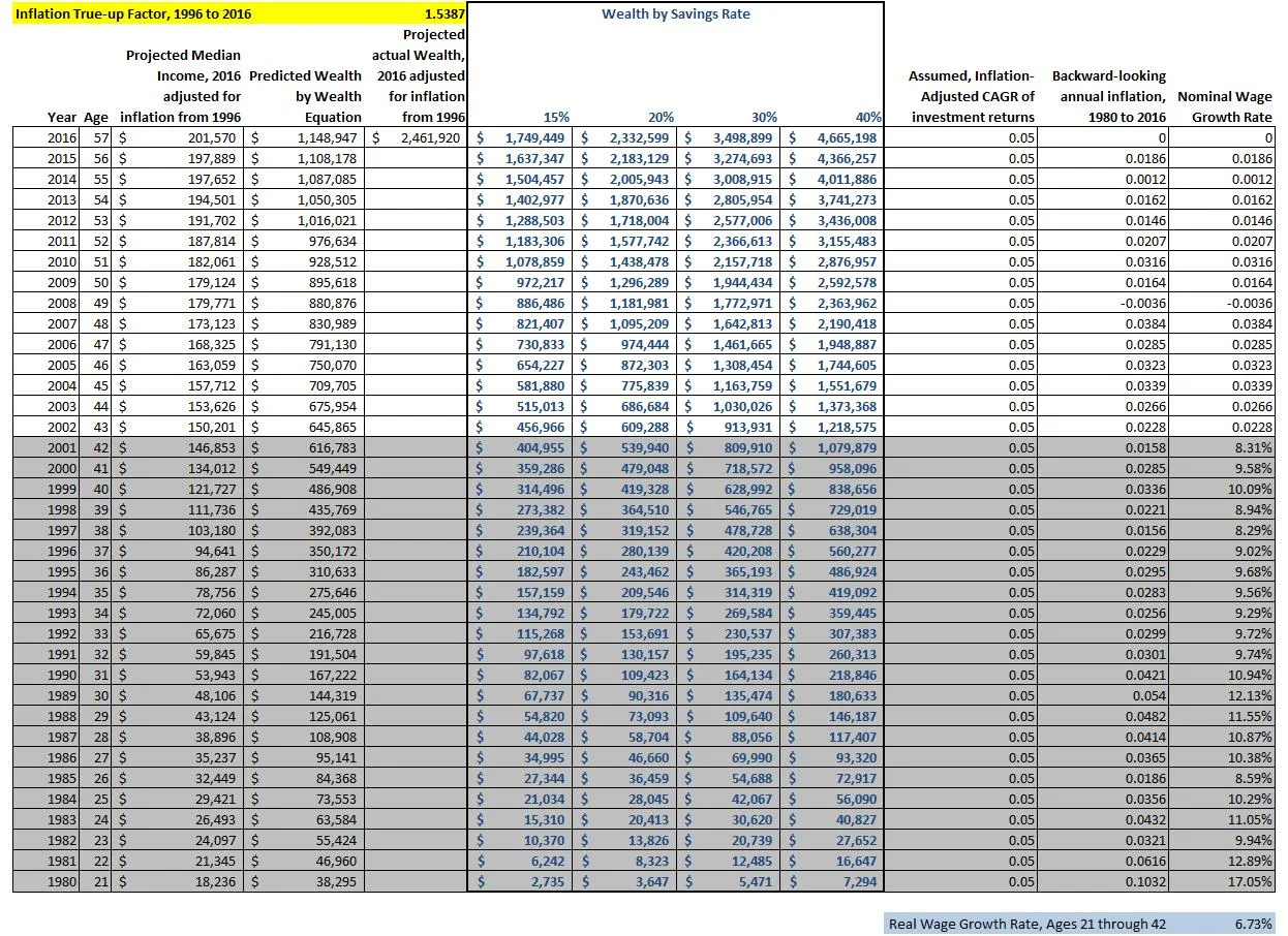
Book Review The Millionaire Next Door By Thomas J Stanley And William D Danko The Stanley Wealth Equation What Should Your Net Worth Be Design Independence In Your Life Money


The Millionaire Next Door Summary 5 Minutes 20 Lessons Learned Pdf


The Couple Next Door By Shari Lapena


The Millionaire Next Door By Thomas J Stanley Pdf Download Read


R E A D Book The Millionaire Next Door The Surprising Secrets Of America Amp 039 S Wealthy Epub Pdf


The Next Millionaire Next Door Sarah Stanley Fallaw And Thomas J Stanley Book Summary Bestbookbits Daily Book Summaries Written Video Audio


The Millionaire Next Door Stanley Thomas J Danko William D Free Shipping


Download The Millionaire Next Door Pdf By Thomas J Stanley Kepdf Com


El Millonario De Al Lado By Stanley Thomas J Danko William D Ph D Very Good Paperback 2009 Thriftbooks Atlanta


Millionaire Women Next Door The Millionaire Next Door


The Millionaire Next Door Book Summary Pdf By Thomas J Stanley And William D Danko Two Minute Books


The Millionaire Next Door Wikisummaries


The Making Of The Next Millionaire Next Door


The Millionaire Next Door Thomas J Stanley William D Danko Google Books


2022 Book Review Of The Millionaire Next Door Summary Michael Ryan Money


7 Financial Habits Of The Millionaire Next Door


Book Authored By Thomas J Stanley And William D Danko


Stop Acting Rich By Thomas J Stanley Overdrive Ebooks Audiobooks And More For Libraries And Schools


Pdf Download The Next Millionaire Next Door Enduring Strategies For Building Wealth Full Format

Iklan Atas Artikel

Iklan Tengah Artikel 1

Iklan Tengah Artikel 2

Iklan Bawah Artikel